In organic chemistry, free-radical addition is an addition reaction which involves free radicals. Radical additions are known for a variety of unsaturated substrates, both olefinic or aromatic and with or without heteroatoms.
Free-radical reactions depend on one or more relatively weak bonds in a reagent. Under reaction conditions (typically heat or light), some weak bonds homolyse into radicals, which then induce further decomposition in their compatriots before recombination. Different mechanisms typically apply to reagents without such a weak bond.
Mechanism and regiochemistry

The basic steps in any free-radical process (the radical chain mechanism) divide into:[1]
- Radical initiation: A radical is created from a non-radical precursor.
- Chain propagation: A radical reacts with a non-radical to produce a new radical species
- Chain termination: Two radicals react with each other to create a non-radical species
In a free-radical addition, there are two chain propagation steps. In one, the adding radical attaches to a multiply-bonded precursor to give a radical with lesser bond order. In the other, the newly-formed radical product abstracts another substituent from the adding reagent to regenerate the adding radical.[2]: 743–744
In general, the adding radical attacks the alkene at the most sterically accessible (typically, least substituted) carbon; the radical then stabilizes on the more substituted carbon.[2]: 188, 751 The result is typically anti-Markovnikov addition, a phenomenon Morris Kharasch called the "peroxide effect".[3] Reaction is slower with alkynes than alkenes.[2]: 750
In the paradigmatic example, hydrogen bromide radicalyzes to monatomic bromine. These bromine atoms add to an alkene at the most accessible site, to give a bromoalkyl radical, with the radical on the more substituted carbon. That radical then abstracts a hydrogen atom from another HBr molecule to regenerate the monatomic bromine and continue the reaction.[2]: 758
Compounds that add radically
Radical addition of hydrogen bromide is a valuable synthetic technique for anti-Markovnikov carbon substitution, but free-radical addition does not occur with the other hydrohalic acids. Radical formation from HF, HCl, or HI is extremely endothermic and chemically disfavored.[2]: 692–694 Hydrogen bromide is incredibly selective as a reagent,[2]: 687–688 and does not produce detectable quantities of polymeric byproducts.[4]: 156–157
The behavior of hydrogen bromide generalizes in two separate directions. Halogenated compounds with a relatively stable radical can dissociate from the halogen. Thus, for example, sulfonyl, sulfenyl, and other sulfur halides can add radically.[4]: 200, 204, 206
Separately, unsubsituted compounds with a relative stable radical can dissociate from hydrogen. In general, these reactions risk polymerized byproducts (see Free-radical addition § Side reactions). For example, thiols,[4]: 165–166 disulfides,[4]: 207 and hydrogen sulfide[4]: 191 can add radically. But if the unsaturated substrate polymerizes easily, they catalyze polymerization instead.[4]: 171–172 In thermal silane additions, telomerization usually proceeds to about 6 units.[4]: 211
In the case of silicon, germanium, or phosphorus, the energetics are unfavorable unless the heavy atom bears a pendant hydrogen.[4]: 209, 217–219 Other electronegative substituents on silicon appear to reduce the barrier.[4]: 213, 217–224
Although nitrogen oxides naturally radicalize, careful control of the radical species is difficult. Dinitrogen tetroxide adds to give a mixture: a vicinal dinitro compound, but also a nitro substituent adjacent to a nitrite ester.[4]: 225
To aryl radicals
Although aromatic resonance stabilizes aryl radicals, bonds between arenes and their substituents are (in)famously strong. Radical reactions with arenes typically present retrosynthetically as instances of nucleophilic aromatic substitution, because generating the aryl radical requires a strong (radical) leaving group.[2]: 686–687 One example is the Meerwein arylation.
Side reactions
A radical addition which leaves an unsaturated product can undergo radical cyclization between the two propagation steps.[2]: 744 In general, radical additions can also start radical polymerization processes.[4]: 171–172
With stable inorganic radicals

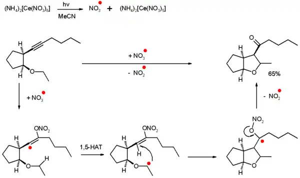
In self-terminating oxidative radical cyclization, inorganic radicals oxidize alkynes to ketones through an intramolecular radical cyclization. This reaction is not catalytic, and requires the oxidized radical source in stoichiometric amounts. In effect, the radical species is synthetically equivalent to monatomic oxygen.[5]
In the paradigmatic example, a nitrate radical (from photolysis of ceric ammonium nitrate) adds to an alkyne to generate a very reactive vinyl nitrate ester radical. The vinyl radical abstracts an intramolecular hydrogen atom 5 atoms away before 5-exo-trig ring-closure. The resulting alkyl nitrate radical can then fragment to a ketone and the stable radical nitrogen dioxide.[5]
Sulfate (from ammonium persulfate) and hydroxyl radicals show similar reactivity.[5]
See also
- The other radical reactions: radical substitution and radical polymerization.
References
- ↑ L.G. Wade's Organic Chemistry 5th Ed. (p 319) – Mechanism supplements original.
- 1 2 3 4 5 6 7 8 March, Jerry (1992), Advanced Organic Chemistry: Reactions, Mechanisms, and Structure (4th ed.), New York: Wiley, ISBN 0-471-60180-2
- ↑ Kharasch, M. S.; Mayo, Frank R. (1933). "The Peroxide Effect in the Addition of Reagents to Unsaturated Compounds. I. The Addition of Hydrogen Bromide to Allyl Bromide". Journal of the American Chemical Society. 55 (6): 2468–2496. doi:10.1021/ja01333a041.
- 1 2 3 4 5 6 7 8 9 10 11 Stacey, F. W.; Harris, J. F., Jr. (30 April 2004). "Formation of carbon-hetero atom bonds by free-radical chain additions to carbon-carbon multiple bonds". In Denmark, Scott E. (ed.). Organic Reactions (1 ed.). Wiley. doi:10.1002/0471264180.or013.04. ISBN 978-0-471-26418-7.
- 1 2 3 Dreessen, Tim; Jargstorff, Christian; Lietzau, Lars; Plath, Christian; Stademann, Arne; and Wille, Uta (2004). "Self-Terminating, Oxidative Radical Cyclizations". Molecules, issue 9, pp. 480–497.